
2/ 因果推論の考え方
関西大学総合情報学部
Morgan and Winship (2014) Counterfactuals and Causal Inference: Methods And Principles For Social Research. Cambridge.
More has been learned about causal inference in the last few decades than sum total of everything that had been learned about it in all prior recorded history. (Gary King)


原因(\(X\))と結果(\(Y\))の関係:啓発活動と投票率の関係(架空の例)

Simultaneity

原因と結果の間に双方向の因果関係が存在
\(\Rightarrow\) 酒がストレスに与える影響は?
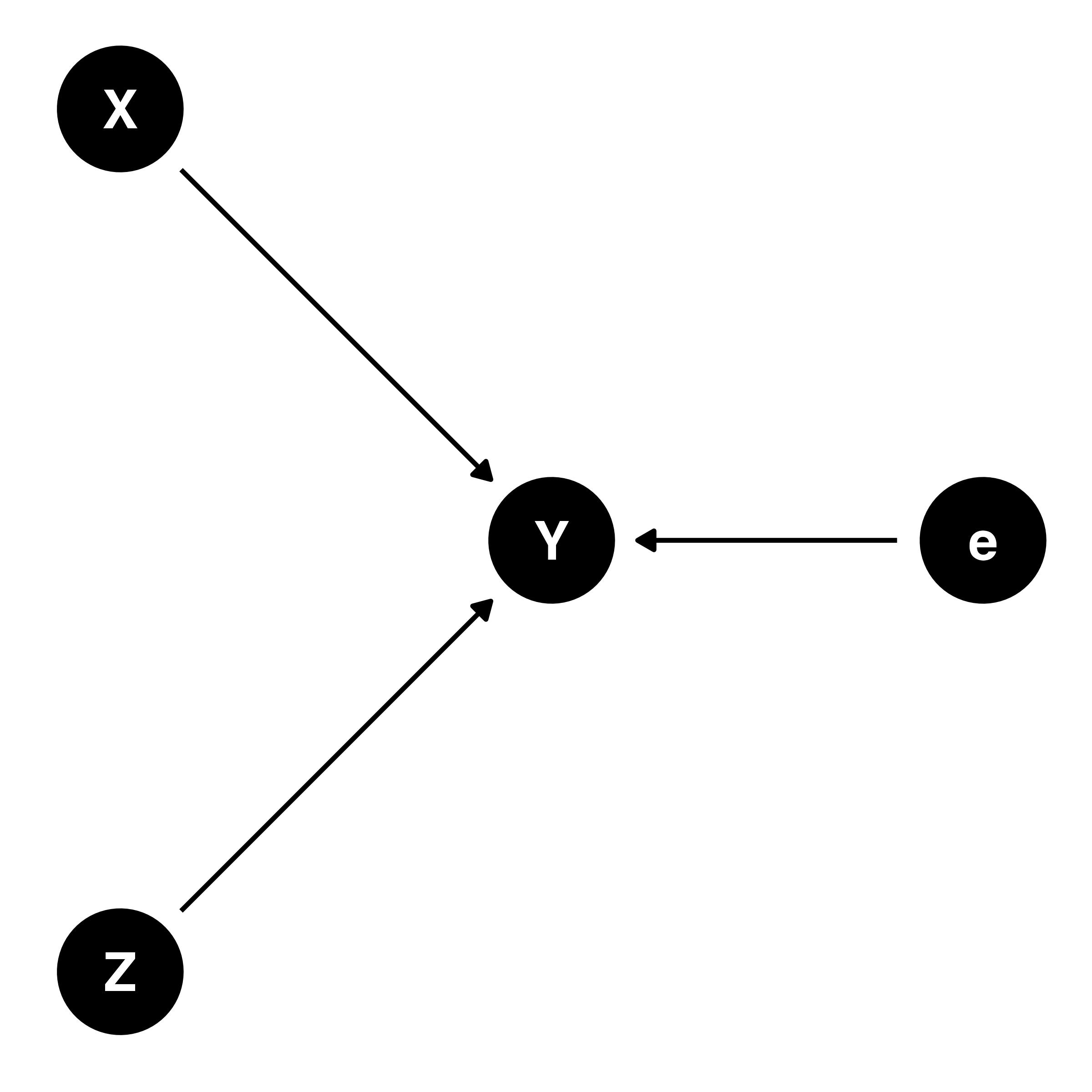
Spurious Correlation、擬似相関

Spurious Correlation、擬似相関

Spurious Correlation、擬似相関


Reverse Causality
| 5年後に死亡 | 5年後に生存 | ||
|---|---|---|---|
| 心臓移植を | 受けた | 10名 | 5名 |
| 受けなかった | 5名 | 10名 |
Reverse Causality

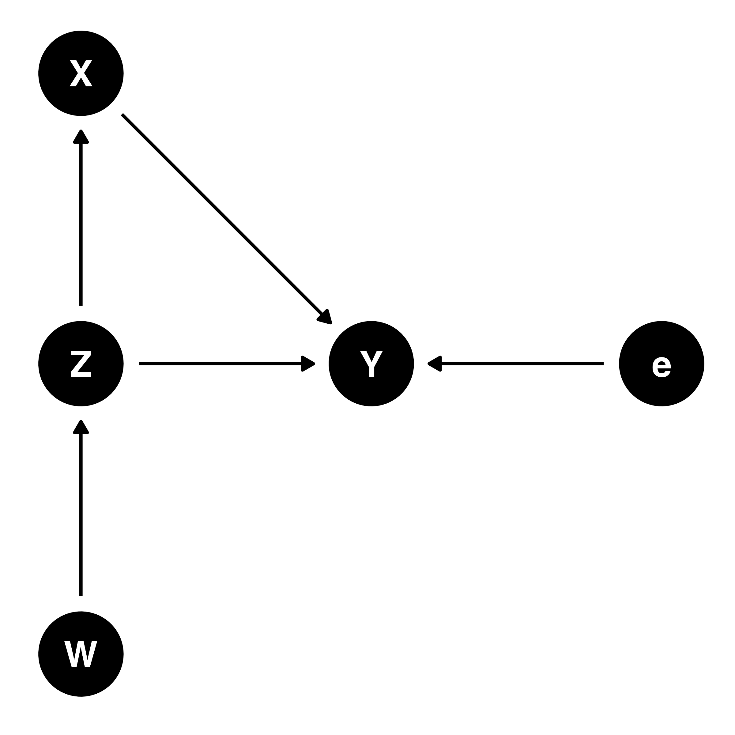
Omitted Variable Bias
例) 真のモデルが\(Y = \beta_0 + \beta_1 \cdot X + \beta_2 \cdot Z + e\)の場合

Omitted Variable Bias
例) 真のモデルが\(Y = \beta_0 + \beta_1 \cdot X + \beta_2 \cdot Z + e\)の場合

(Self-)Selection Bias
| 3年後の収入 | ||
|---|---|---|
| 職業訓練を | 受けた | 6349ドル |
| 受けなかった | 6984ドル |
これまでの多くの例は内生性(endogeneity)の問題
啓発活動と投票率の関係(架空の例)


内生性の除外 \(\rightarrow\) 因果効果の推定


ソンさんの講義を履修することで期待年収が上がるか
講義履修の効果
ソンさんの講義を履修することで期待年収が上がるか
講義履修の効果(ケース1)
| 履修しなかった場合の年収(A) | 履修した場合の年収(B) | 効果(B-A) | |
|---|---|---|---|
| ケース1 | 5000万 | 5000万 | 0万 |
ソンさんの講義を履修することで期待年収が上がるか
講義履修の効果(ケース2)
| 履修しなかった場合の年収(A) | 履修した場合の年収(B) | 効果(B-A) | |
|---|---|---|---|
| ケース2 | 1000万 | 5000万 | 4000万 |
ソンさんの講義を履修することで期待年収が上がるか
講義履修の効果(ケース3)
| 履修しなかった場合の年収(A) | 履修した場合の年収(B) | 効果(B-A) | |
|---|---|---|---|
| ケース3 | 8000万 | 5000万 | -3000万 |
ソンさんの講義を履修することで期待年収が上がるか
講義履修の効果
| 履修しなかった場合の年収(A) | 履修した場合の年収(B) | 効果(B-A) | |
|---|---|---|---|
| ケース1 | 5000万 | 5000万 | 0万 |
| ケース2 | 1000万 | 5000万 | 4000万 |
| ケース3 | 8000万 | 5000万 | -3000万 |
Neyman-Rubin-HollandのPotential Outcome Framework
ITEの平均値は−4であり、個人差はあるものの、全体的に薬は成績に負の影響
| \(i\) | \(T_i\) | \(Y_i(T_i = 0)\) | \(Y_i(T_i = 1)\) | \(ITE_i\) |
|---|---|---|---|---|
| 1 | 1 | 77 | 85 | 8 |
| 2 | 1 | 49 | 59 | 10 |
| 3 | 1 | 60 | 66 | 6 |
| 4 | 0 | 61 | 44 | -17 |
| 5 | 0 | 50 | 39 | -11 |
| 6 | 0 | 75 | 55 | -20 |
| 平均 | 62 | 58 | -4 |
しかし、観察できるのは\(Y_i(T_i = 1)\)か\(Y_i(T_i = 0)\)、片方のみ
| \(i\) | \(T_i\) | \(Y_i(T_i = 0)\) | \(Y_i(T_i = 1)\) | \(ITE_i\) |
|---|---|---|---|---|
| 1 | 1 | ? | 85 | ? |
| 2 | 1 | ? | 59 | ? |
| 3 | 1 | ? | 66 | ? |
| 4 | 0 | 61 | ? | ? |
| 5 | 0 | 50 | ? | ? |
| 6 | 0 | 75 | ? | ? |
| 平均 | 62 | 70 | 8 |
履修者5名と非履修者5名の年収の比較
| \(i\) | \(T_i\) | \(Y_i(T_i = 0)\) | \(Y_i(T_i = 1)\) | \(ITE_i\) |
|---|---|---|---|---|
| 1 | 1 | ? | 700 | ? |
| 2 | 1 | ? | 1000 | ? |
| 3 | 1 | ? | 550 | ? |
| 4 | 1 | ? | 350 | ? |
| 5 | 1 | ? | 400 | ? |
| 6 | 0 | 400 | ? | ? |
| 7 | 0 | 500 | ? | ? |
| 8 | 0 | 350 | ? | ? |
| 9 | 0 | 750 | ? | ? |
| 10 | 0 | 500 | ? | ? |
| 平均 | 500 | 600 | 100 |
履修者5名と非履修者5名の年収の比較(ケース1)
| \(i\) | \(T_i\) | \(Y_i(T_i = 0)\) | \(Y_i(T_i = 1)\) | \(ITE_i\) |
|---|---|---|---|---|
| 1 | 1 | 550 | 700 | 150 |
| 2 | 1 | 650 | 1000 | 350 |
| 3 | 1 | 600 | 550 | -50 |
| 4 | 1 | 300 | 350 | 50 |
| 5 | 1 | 300 | 400 | 100 |
| 6 | 0 | 400 | 300 | -100 |
| 7 | 0 | 500 | 700 | 200 |
| 8 | 0 | 350 | 600 | 250 |
| 9 | 0 | 750 | 700 | -50 |
| 10 | 0 | 500 | 400 | -100 |
| 平均 | 490 | 570 | 80 |
履修者5名と非履修者5名の年収の比較(ケース2)
| \(i\) | \(T_i\) | \(Y_i(T_i = 0)\) | \(Y_i(T_i = 1)\) | \(ITE_i\) |
|---|---|---|---|---|
| 1 | 1 | 800 | 700 | -100 |
| 2 | 1 | 650 | 1000 | 350 |
| 3 | 1 | 600 | 550 | -50 |
| 4 | 1 | 400 | 350 | -50 |
| 5 | 1 | 350 | 400 | 50 |
| 6 | 0 | 400 | 300 | -100 |
| 7 | 0 | 500 | 500 | 0 |
| 8 | 0 | 350 | 400 | 50 |
| 9 | 0 | 750 | 500 | -250 |
| 10 | 0 | 500 | 400 | -100 |
| 平均 | 530 | 510 | -20 |

観察されたデータから差分を計算するだけではATEは推定不可能
| \(i\) | \(T_i\) | \(Y_i(T_i = 0)\) | \(Y_i(T_i = 1)\) | \(ITE_i\) |
|---|---|---|---|---|
| 1 | 1 | ? | 700 | ? |
| 2 | 1 | ? | 1000 | ? |
| 3 | 1 | ? | 550 | ? |
| 4 | 1 | ? | 350 | ? |
| 5 | 1 | ? | 400 | ? |
| 6 | 0 | 400 | ? | ? |
| 7 | 0 | 500 | ? | ? |
| 8 | 0 | 350 | ? | ? |
| 9 | 0 | 750 | ? | ? |
| 10 | 0 | 500 | ? | ? |
| 平均 | 500 | 600 | 100 |
ATE推定値の信頼性を損なう敵: 内生性 (しかも、常に存在する)
例) やる気のある学生だけがソンさんの講義を履修した場合
内生性は因果推論の敵! どうすれば…?
\(\downarrow\)
無作為割当 (Random Assignment)